发表时间:2022-03-25来源:网络
我们常听到的数据分析,具体来说分为以下五大步骤:

数据集的属性有:
用户ID:目的是为了辨别用户是谁。商品编号:目的是为了辨别商品是什么。商品一级分类:商品主分类(如:上述有多个28,如家具类)。商品二级分类:商品子分类(如:28底下有其他的分类,如家具类的桌子属一种、家具类的椅子属另一种)。商品属性:品牌、出货地点、产地等。购买数量。购买时间。婴儿数据集

数据集的属性有:
用户ID:目的是为了辨别用户是谁。 出生日期:用户宝宝的出生日期。 宝宝性别:女(0)、男(1)、未知(2)这是第二步,初步对数据有个简单的认识。

回到婴幼儿商品购买数据集及婴儿数据集,两份数据集现行不需要处理这块,因为一个用户可能同一天购买同样商品的数量N次,用户的婴儿也可能有复数位,这边只需后续去查阅是否有异常值即可。
故本环节不做处理。
(三)缺失值处理:
针对缺失值,常见的处理方式有三种:
人工手动补全(适合少量资料) 直接删除缺失值 用平均值代替这个缺失值首先,透过Excel与其他栏位比较,可以查阅是否有缺失值。

因为婴幼儿商品购买数据集(上图表1购买商品)及婴儿数据集(上图表2婴儿信息)在我的问题中是需要放在一块去进行分析,故我两个数据集合并,最终得到一张全新的表单,如下:

透过excel栏位的项目个数,我发现合并后,缺失值突然一个陡峭式的攀升(红框部分):
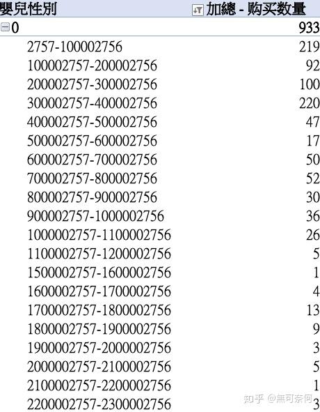
女婴用户(区间)购买数量统计
男婴用户(区间)购买数量统计结论:
针对上述分析的结果,我们可透过数据来初步解释一一用户是比较愿意在女婴上投资的。
(二)哪个产品卖得好?购买这项产品用户间的关系是?
关键特征:产品编号、二级分类、购买数量、出生日期、性别
统计结果:
X轴:一级分类,购买数量前五排序:

X轴:一级分类、Y轴婴儿性别,购买数量前五排序:

X轴:一级分类、Y轴婴幼儿出生日期+婴儿性别,购买数量前五排序:

结论:
哪个产品卖得好?根据数据分析,发现一级分类中50014815卖得最好,课题一结论为用户在女婴上更愿意花钱,所以在上述性别统计中,能发现用户家中是女婴的状况(性别为0),他们更愿意买50014815这分类的产品。
从日期维度在看,50014814集中在出生日是2012年的这个时候,而2011跟2013幅度不大,可以推测可能有某些因素原因,造成2012出生在这年的女婴需要大量50014815的产品。
(三)加上时间维度,卖得好与否时间是否是一个重要影响的因素?
关键特征:购买时间、购买数量、出生日期、性别
统计结果:
X轴:购买时间,统计各年度购买数量:
各年度购买数量X軸:購買時間、Y軸嬰兒出生日期、嬰兒性別,統計各年度購買數量(數量高至低排序):
两岁购买最多结论:
上述数据分析后,可以从中发现有一个共通的逻辑,首先2012年出生的婴儿中,用户于2014年大量购买;2011年出生的婴儿中,用户于2013年大量购买;2013年出生的婴儿中,用户于2015大量购买。
由这个规律可以结论,出生的婴儿在两岁上下时,用户会来店铺进行大量采购(相较于刚出生及一岁左右的婴儿),并且结合上一课题的结论,可以大胆推测:
最后验证确实也是这样,找到了一个有趣的关联。
回到本课题一一卖得好与时间是否是重要因素不知道,但卖得好与两岁的婴儿确实有极大的关系与影响,尤其是50014815的一级分类值得追踪。
(四)【进阶思考】假设给予一名新的用户、含婴儿日期、性别,我是否可以初步预测他会购买什么样的产品?这能做到吗?
这题我想了想,答案是可以做到。
现实中确实也有例子,例如上电商时,下面都会写「猜你想要什么」,实际上就是透过个人用户数据的收集后,透过特征进行归类,找出彼此间的共通点与关联性,就能达到预测这件事了,像是netflix就知道我想看什么日剧......
以上完成了前面四个步骤,接下来这是要将数据进行商业价值转换的时刻了!
祝賀自己本節完结撒花,可视化留至下一章见!
皓盘云建最新版下载v9.0 安卓版
53.38MB |商务办公
ris云客移动销售系统最新版下载v1.1.25 安卓手机版
42.71M |商务办公
粤语翻译帮app下载v1.1.1 安卓版
60.01MB |生活服务
人生笔记app官方版下载v1.19.4 安卓版
125.88MB |系统工具
萝卜笔记app下载v1.1.6 安卓版
46.29MB |生活服务
贯联商户端app下载v6.1.8 安卓版
12.54MB |商务办公
jotmo笔记app下载v2.30.0 安卓版
50.06MB |系统工具
鑫钜出行共享汽车app下载v1.5.2
44.7M |生活服务
2022-03-26
2022-03-26
2022-03-26
2022-03-26
2022-03-26
2022-03-26
2022-03-26
2022-03-26
2022-02-15
2022-02-14